전용 84㎡ 발코니확장 포함 5억중반대…시세 대비 가격↑'김해 더샵 신문그리니티' 등 인근 분양단지 줄줄이 미달최근 김해시 미분양 급증…"입주장 기다렸다 매수" 조언
-
- ▲ '김해 안동 에피트'가 들어설 김해시 안동 일대ⓒ네이버지도 갈무리
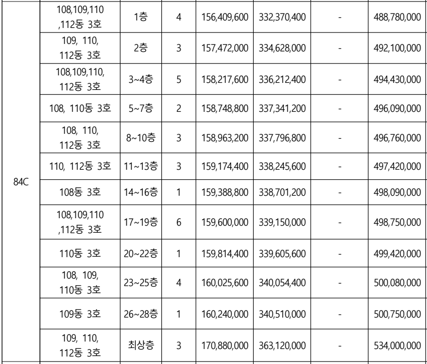
경남 김해시 안동 일대에 들어서는 '김해 안동 에피트'가 견본주택을 개관하고 본격적인 분양일정애 돌입했다. 단지는 커뮤니티 시설과 직주근접성 등을 강점으로 내세우고 있지만 다소 높은 분양가와 지역내 미분양물량이 증가하고 있다는 점 등 때문에 청약결과를 낙관하기 어렵단 관측이 나온다. 지역 부동산 관계자들은 추후 입주장을 노려도 괜찮은 단지로 평가한다.10일 입주자모집공고에 따르면 단지는 지하 6층~지상 29층, 16개동, 총 1539가구 규모 아파트다. 이 중 765가구를 일반분양하며 주택형은 59·68·77·84·110·135㎡ 총 6가지로 구성돼 있다.타입별 분양 가구수는 △59㎡ 5가구 △68㎡A 56가구 △68㎡B 6가구 △77㎡ 50가구 △84㎡A 252가구 △84㎡B 42가구 △84㎡C 36가구 △84㎡D 28가구 △110㎡A 130가구 △110㎡B 57가구 △110㎡C 56가구 △110㎡D 28가구 △135㎡ 19가구다.전용면적별 공급가는 △59㎡ 3억7103만원 △68㎡A 4억1616만~4억5466만원 △68㎡B 4억1616만~4억2522만원 △77㎡ 4억5703만~4억9931만원 △84㎡A·B·C·D 4억8878만~5억3400만원 △110㎡A·B·C·D 6억8670만~7억2240만원 △135㎡ 8억5228만~8억8388만원 등이다.발코니 확장비 경우 △59㎡ 1705만원 △68㎡A·B 1925만원 △77㎡ 2145만원 △84㎡A·B·C·D 2310만원 △110㎡A·B·C·D 2860만원 △135㎡ 3300만원이다. 발코니확장 비용과 중도금 이자 후불제를 감안하면 전용면적 84㎡ 분양가격은 최대 5억6200만원에 육박할 것으로 전망된다.이는 인근시세를 고려할 때 가격만 놓고 보면 안전마진을 챙기긴 어려울 것으로 보인다. 지난 8월 분양한 '김해 삼계 동일스위트' 경우 전용면적 84㎡ 분양가격은 4억9000만~4억9500만원 사이였다. 분양가를 놓고 보면 '김해 안동 에피트'가 약 6700만원 가량 더 비싸다. -
- ▲ 단지 분양가격표ⓒ입주자모집공고
호갱노노 집계를 보면 최근 한달간 김해시 안동 아파트 평당가는 917만원이다. 지역 대장아파트 '김해푸르지오하이엔드1단지'와 '김해푸르지오하이엔드2단지' 평당가는 각각 1292만원, 1148만원이다. 반면 '김해 안동 에피트' 평당분양가는 2217만원 수준으로 시세대비 높은 편이다.인근 김포시 내동, 삼계동과 비교해도 가격이 비싸다. 내동지역 대장아파트 '연지공원푸르지오' 평당가는 1789만원, 삼계동 대장아파트 '김해삼계푸르지오센트럴파크'는 1527만원이다.안동 K공인중개사무소 대표는 "일대 기업이 몰려 있는 대동첨단산업단지가 인접해 있다는 점과 인근에 학교가 도보로 이동이 가능하다는 장점이 있지만 흥행을 예단하기엔 예매하다"면서 "인제대역 인근 삼정동에는 학군, 병원 등 생활인프라가 더 잘 갖춰져 있고 삼계동과 내동 등 가격이 낮고 주거환경을 갖춰져 있는 주변지역이 있어서 완판까지 상당한 시간이 예상된다"고 말했다.인근 J공인중개사무소 관계자는 "김해 인구유출이 많이 이뤄지고 있는 상황에서 신축단지 흥행은 브랜드 아파트라고 하더라도 쉽지 않은 게 현실이다"며 "특히 최근 김해시 미분양 상황을 고려하면 신축이라고 하더라고 분양가 부담이 작용할 것으로 보인다"고 설명했다.국토교통부가 발표한 '2025년 9월 기준 주택통계'에서 경남지역 미분양 아파트는 5511가구로 전월보다 10.4%(518가구) 증가했다. 이 가운데 김해시 미분양물량은 1367가구로 전체 25%를 차지하고 있다.준공후 미분양물량도 △1월 2032가구 △2월 2459가구 △3월 3026가구 △4월 3176가구 △5월 3121가구 △6월 3413가구 △7월 3468가구 △8월 3314가구 △9월 3311가구 등 3000가구 이상을 유지하고 있다.안동 Y공인중개사무소 관계자는 "8월 분양한 '김해 더샵 신문그리니티'는 전용 84㎡ 분양가가 5억3046만원이었는데 현재까지 미분양이고 같은달 분양한 '김해 삼계 동일스위트' 완판에 실패했다"며 "5억초반을 넘긴 단지는 미분양물량도 많고 분양권에 마피까지 붙은 매물도 나오고 있어서 입주장까지 기다렸다 적정가격에 나오면 매수해도 될 단지로 보인다"고 평가했다.





